交通部第73批达标车型:上榜88款!纯电动势头最猛 10-11米领跑领涨
公路客车(道路运输客车)是客车市场中最传统的领域,也是客车中最大的细分市场。而公路客车准入运营必须达到国家有关标准。因此,交通部公示的道路运输客车(公路客车)达标车型对车企下一步公路客车产品的策划可能会对公路客车行业的发展能起到一些“风向标”的作用,对客车企业今后的公路客车产品布局有较强的引导作用。
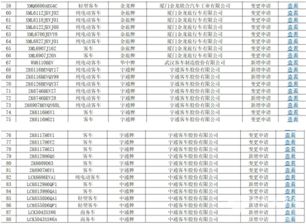
2025年2月25日,交通部公示了道路运输达标客车(公路客车)车型表(第73批,见下截图),这也是2025年以来交通部公示的第2批客车达标公告车型。本批达标车型共包括公路客车88款,环比下降1.1%;其中包括45款传统动力公路客;42款纯电动公路客车,1款燃料电池及0款插电式混动客车。

现对交通部第73批道路运输客车达标车型特点进行扼要解析,供行业参考!
特点一、上榜88款车型,同比增长近6成,环比下降1.1%
根据交通部数据,第73批公路客车达标车型上榜89款,同比2024年2月的第61批的56款增长近6成(57.1%),环比第72批公告的88款车型下降1.1%。

上图可见,在2025年交通部发布的第2批(第73批)公路客车达标车型公告中,同比增长近6成(57.1%),说明今年2月客车企业申报公路客车新品的积极性大大提高,而环比上一批微弱下降,主要是今年春节放假带来的影响。
特点二、传统动力领跑;纯电动环比领涨、势头最猛
截图1,交通部道路运输车辆达标车型表(第73批公示)



表1,第73批交通部达标车型公告上榜的各动力车型数量、占比与上一批环比(数据来源:交通部)

上表可见,在本批次道路运输达标客车车型中:
----传统动力公路客车上榜45款,占据本批次公告上榜总数量88款51.2%的市场比例,领跑各细分车型;占比环比增加减少11.73个百分点,是占比环比建设最多的细分车型而领涨。据分析主要原因:
一是目前传统动力公路客车依然是中长途公路客运市场的主打车型,因为纯电动公路存在续航里程不足及不能不便等痛点,环比减少最多是因为上一批上榜数量较多,给本批环比增长带来困难。
----纯电动公路客车上榜42款车型,居第二,占据本批次达标公告上榜车型总数量88款的47.7%权重,且占比环比增加15.12个百分点,是占比环比增加最多、增长势头最猛的细分车型。
一方面说明目前纯电动公路客车市场地位不容小看,毕竟随着国家“双碳”战略的推动及各地对环保考核力度的加大,加之各地充电基数设施的逐渐完善;纯电动公路客车需求在增多。
另外一方面占比环比增加最多,主要是上一个批次公告中上榜的纯电动公路客车数量较少,因此给本批次公告中纯电动公路客车上榜数量环比领涨奠定了基础。
----燃料电池公路客车上榜1款车型,占比1.1%,居第三,且占比同比减少3.39个百分点,是占比环比减少第二多的细分车型;主要是上一批公告中未有燃料电池公路客车车型上榜数量较多导致的。
而插电式混动客车未有车型上榜,主要是插混车型不能实现零排放,不能摆脱对燃油的依赖,加之其舒适性较差(噪音较大),不太适合载人的中长途公路客车推广应用。
特点三、厦门金龙居榜首,海格第二,宇通第三
根据统计,本批次上榜的达标客车车型共由15个客车品牌提供,其中上榜数量在4款及以上的8个企业统计如下图(数据来源:交通部第72批达标车型公告)

上图可见,在交通部第73批上榜的达标的道路运输客车车型公告中:
1、厦门金龙海格客车累计上榜22款,占行业上榜总数量25%的比例,居第一;其中13款为纯电动客车,可见金龙客车已经把纯电动车型作为公路客车的主要车型来申报了。
2、苏州金龙海格课程累计上榜15款车型,占行业上榜总数量17%的比例,居第二。其中6款为纯电动客车,1款为燃料电池客车,其余为传统动力客车;
3、宇通客车累计上榜14款车型,居第三;占行业上榜总数量16%比例;其中7款为纯电动客车,占其上榜总数量50%的比例;其余为传统动力客车 ;
4、中通客车和厦门金旅均累计上榜7款车型,占比均为8%,并列第四;其中中通1款为纯电动客车,其余为传统动力客车;厦门金旅5款为纯电动客车,2款为传统动力客车;
4、安凯客车与福田汽车累计均上榜5款车型,均占行业上榜总数量5.7%的比例;并列第五;安凯客车有3款为纯电动客车;福田也是3款为纯电动客车;其余均为传统动力客车;
6、江铃晶马客车均累计上榜4车型,占比4.5%,居第六;其中1款为纯电动客车,其余为传统动力客车;
其余车企上榜数量均在3款或以下。
特点四、10-11米领涨领跑
表2,根据交通部数据,第73批客车达标车型公告中上榜的各长度段车型数量、占比比及环比增减统计:



上表图说明,在第73批交通部上榜达标道路运输客车车型中:
---5-6米段车型累计上榜22款,占比25%,居第三,占比环比减少6.5个百分点;主要是上一批上榜数量较多导致的;
---6-7米段车型未有上榜;
---7-8米段车型累计上榜5款,占比5.7%,占比环比减少11.2个百分点,是占比环比减少最多、领跌各细分车型。
---8-9米段车型累计上榜3款,占比3.4%,占比环比减少4.5个百分点;
---9-10米段累计上榜12款,占比13.6%,占比环比增加5.7个百分点;
---10-11米段车型累计上榜24款,占比27.3%领跑;占比环比增加12.7个百分点,是占比环比增加最多的细分车型而领涨;
---11-12米段车型累计上榜20款,居第二,占比22.7%,占比环比增加4.6个百分点;
---12米以上的特大车型累计上榜2款车型,占比2.3%,占比环比减少0.1个百分点。
总之,本批次公路达标公告上榜车型上榜数量同比增长近6成,环比下降近1.1%,其中传统动力公路客车领跑,纯电动表现最抢眼;10-11米段车型领跑领涨。
综上所述,交通部发布的第73批次公路客车达标公告中,特点较多,上述4个特征比较凸显。
但愿此分析能给车企在2025年公路客车领域的产品策划及市场定位提供一定的参考依据!
- 10月大中轻客车:销4.96万辆!同比增环比降 轻客\中客分别领涨同环比
- 10月新能源客车出口:“银十”失约 比亚迪夺冠 宇通\金旅分列二三
- 第401批新能源客车:上榜50款,纯电动地位更强,插混领涨
- 10月新能源客车:“银十”成色十足!宇通霸榜,中车\金旅分列二三
- 10月客车出口:销5105辆 宇通夺冠 “三龙”紧跟 欧辉大涨
- 2025年10月国家及地方层面有关客车政策汇总及评析
- 10月大中客车:宇通霸榜 中车杀入前三 欧辉“双领涨”
- 2025年前三季度公路客车市场主要特点总结
- 前三季度农村客车:“金九”坐实,累销11.66万辆
- 2025年9月公路\公交\校车PK: 谁领涨?“黑马”是哪个?
- 2025年9月及前9月新能源客车产量及动力电池装机量简析
- 1-9月考斯特客车:“金九”弱现 累销1.24万辆 增1.1%
- 9月客车出口:乌兹别克斯坦\智利\巴基斯坦居纯电动前三
- 9月新能源座位客车:销1148辆!同环比“双增” 欧辉\金龙分列二三
- 宇通夺冠,申沃\吉利争第二!9月7米以上新能源公交客车销量排行出炉
- 9月新能源轻客:销3.55万辆 “金九”如约而至 远程夺冠 江铃领涨
- 2025年前三季度大中型新能源客车市场主要看点有哪些?
- 9月客车终端市场:中客电动化率最高 宇通\江铃分获大中客\轻客冠军
- 9月轻客:销4.36万辆!“金九”坐实 长安领跑 宇通领涨
- 9月大中轻客车:“金九”旺销 5.58万辆 轻客\大客分别领涨同环比
1、凡本网注明“来源:www.boiseidahoadvertising.com” 的所有作品,版权均属于XINGKONG.COM,未经本网授权,任何单位及个人不得转载、摘编或以其它方式使用上述作品。已经本网授权使用作品的,应在授权范围内使用,并注明“来源:www.boiseidahoadvertising.com”。违反上述声明者,本网将追究其相关法律责任。
2、凡本网注明 “来源:XXX(非XINGKONG.COM)” 的作品,均转载自其它媒体,转载目的在于传递更多信息,并不代表本网赞同其观点和对其真实性负责。
3、如因作品内容、版权和其它问题需要同本网联系的,请在30日内进行。
※ 有关作品版权事宜请联系:copyright#chinabuses.com
- 140辆金旅客车护航全运会 多维保障筑牢大湾区通勤防线[11-18]
- 广元昭化:首台“文明新风号”公交车正式上线[11-18]
- 丹东公交集团14台新能源公交车正式上线运营[11-18]
- 福州更新投放434辆纯电动公交车[11-18]
- 哈尔滨|新车上路 快线提速 智慧护航 公交升级暖民心[11-18]
- 山西盂县往返市区的首条“便民快巴”开通[11-18]
- 引领产业创新 中创新航入选全国二十强“百链千企”案例[11-18]
- 智利女驾驶员人才培养计划圆满结项 中通为当地再添新功[11-18]